Two tungsten beads on a loop of monofilament adds weight and eyes to this fly
There are a number of fly patterns that incorporate a metal bead or two for looks and weight. Charles Jardine’s Holy Grail conceals a silver or gold tungsten bead within the body behind a hackle, the shiny bead hinting at a bubble of air in a hatching insect. Charlie Craven’s Two Bit Hooker has two tungsten beads secreted in the body to add weight without the bulk of a single large bead. The Bugeye Pupa has two slotted tungsten beads on a loop of monofilament, simultaneously adding weight and eyes with an insectoid vibe which gives the fly its name.
Before getting into the tying method for the Bugeyed Pupa, it may be useful to digress a little and discuss tungsten bead sizes and weights. Some anglers overestimate the effect of adding two beads to a fly, even to the extent of thinking that two 2.5mm beads weight the same as a 5mm bead. I would imagine that this may be a more common issue for the poor souls in the US where beads are sized in fractions of an inch and the maths is hence more complicated.
The volumes, and therefore the weight of objects, be they sugar cubes or elephants, scale by the cube of their dimensions. It’s easy to visualise this for simple objects with straight sides, like sugar cubes. A 1cm sugar cube has a volume of 1cc (1x1x1) and a 2cm cube of sugar a volume of 8cc (2x2x2) so you can fit eight small cubes into the volume of the big one.
For objects with curved sides, spheres in the case of tungsten beads, visualising differences in relative volumes and weights becomes more difficult. It’s straightforward to do with a calculator or spreadsheet using 4/3πr3 to calculate the volume of a sphere. This ignores the effect of the slot or hole in tungsten beads, but the result is close enough for practical purposes as the size of slots and holes roughly scale with bead size. If you use a 3D CAD program, you can directly compare bead sizes and volumes like the example below.
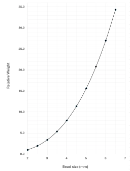
The relationship between the weights of different beads or bead combinations can be clearly seen on a graph of bead size against normalised weight. The graph below shows the weights of beads relative to a 2mm bead normalised to a value of one. Two 2.5mm beads have a combined relative weight of 4 which is the weight equivalent of a single 3.2mm bead.
Weight isn’t the sole factor in how fast and deep a tungsten bead fly will sink, hydrodynamics come into it too, a big bead has a larger cross section and therefore more drag in the water which will slow its descent. The type of fly also influences the sink rate, a slim perdigon will sink faster than a bushy nymph or streamer. However, bead size and weight is a key factor in sink rate and it’s useful to gain experience of what sizes to use for different river conditions based on understanding of the relative weights of different beads and bead combinations.
When fishing in the winter I tend to choose the weight for my point fly relative to a 4mm bead which is my standard for normal conditions. If the water is deeper and faster after rain I’ll go up one size to a 4.6mm bead which is 50% heavier. If the river is really pushing through or I want to fish the bottom of a deep hole I’ll scale up to a 5.5mm bead, a 260% increase in weight. My winter box has a small number of flies with 6.4mm beads which at just over two grams are equivalent to four 4mm beads, these are pretty much just for emergency use.
I prefer to fish two flies and my default is a 4mm bead on the point and an unweighted fly on a dropper about 18 inches above. The aim is to have the point fly tapping along the gravel such that I can feel the vibrations coming up the line and with the unweighted dropper fly wafting around in the current. If a fish takes either fly the tapping stops and it’s time to raise the rod into the fish. When a 4mm bead is not enough I’ll change up a size or two, if that’s not cutting it, I change the dropper fly to a weighted one.
| Point Fly Bead (mm) | Dropper Fly Bead (mm) | Relative Total Weight |
|---|---|---|
| 4 | 0 | 1 |
| 4.6 | 0 | 1.52 |
| 5.5 | 0 | 2.60 |
| 4 | 3 | 1.42 |
| 4 | 3.5 | 1.67 |
| 4.6 | 4 | 2.52 |
| 5.5 | 4 | 3.60 |
| 5.5 | 4.6 | 4.12 |
That’s probably enough maths for now, so back to tying. The body of the Bugeyed Pupa is tied with cat gut, which is actually bovine or ovine rather than feline. When dry the material is stiff and springy, but after a couple of minutes in warm water it softens and can be wound around a hook to give a very lifelike body to a pupa or grub imitation. It comes in a range of dyed colours from naturalistic to gaudy. The Bugeyed Pupa is designed for winter grayling fishing in deep often coloured water, so gaudy is fine by me, and also by the fish.
Once the gut dries out after tying it will shrink slightly and the body may show a few gaps, but once you start fishing it the gut will reabsorb water and expand restoring the translucent body shape like the one below.
- Log in to post comments










